Une des nombreuses nouvelles fonctionnalités du Workspace de Planning Analytics est la capacité à offrir des fonctionnalités de restitution, de Dashbording et de Datavizz.
Nous allons les découvrir (une partie seulement) au travers de notre base d’exemple : sData.
À noter : La plupart des notions sont accessibles en apprentissage lors de nos formations, notamment la formation "IBM Planning Analytics Workspace".
Cube PNLCube
Le cube de l’exemple :

La dimension « region » contenant une subdivision du « monde » en continents, sous-continents et pays

Mode opératoire pas à pas
Créons tout d’abord un « livre » (vierge) dans lequel nous allons créer nos différentes restitutions.

Commençons par créer une vue de cube, dans notre "livre", vue de cube que nous allons dupliquer.


Dans la deuxième vue (celle du bas), changeons le mode de représentation et choisissons "Colonnes".

Le résultat a le mérite d’exister ! ;-)

Essayons d’intervertir les lignes et les colonnes en allant sur :
En sélectionnant tous les mois en "barres" et uniquement "Earning before taxe" en "longueur".

Le résultat est un peu mieux !

→ En règle générale, passer par une vue puis transformer cette vue en visualisation est le moyen le plus simple de créer des graphiques.
Synchronisation
Lorsque nous changeons le point de vue d’un des bloc (Changement de pays par exemple), nous voulons (ou pas !) que les graphiques se rafraichissent en fonction.
C’est le principe de la "synchronisation"
Chaque objet (vue, graphique, onglet, Dashboard) possède :
- Une "portée" de synchronisation
- La ou les dimensions synchronisées
- Appliquons la synchronisation de la dimension "organisation" sur tous nos objets.
Allons dans propriétés - Synchroniser - Hiérarchies

- Testons !

À chaque changement de sélection, notre graphique évolue !
- Créons un sélecteur et masquons nos entêtes de vue
Masquer l’entête de vue :


Créons un sélecteur sur la dimension "region".

Synchronisons-le sur le "livre" entier

Notre premier exemple de base est réalisé !

Les différentes visualisations sur Planning Analytics
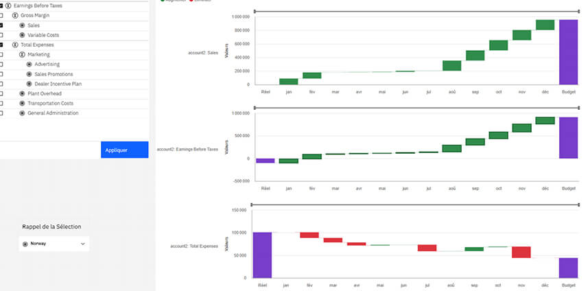
Waterfall :

Notre onglet est toujours dépendant de notre premier sélecteur sur le « pays », nous ajoutons ici un deuxième sélecteur sur les « indicateurs » avec un choix multiple.

Géographie :


Tarte et ascenseur horizontale :

En appuyant sur les " < " ou ">" nous faisons défiler les différent points de vue.
Moustaches :

De plus en plus fort
Nous allons maintenant nous affranchir du passage par la vue et créer directement notre graphique, le Workspace se chargera de trouver le meilleur cube contenant les données souhaitées.
Créons un nouvel onglet "From Scratch" et choisissons une représentation graphique parmi toutes celles existantes : Radar, Rose des sables par exemple


Positionnons (drag & drop) nos dimensions :
- Region : SBS_Feuilles dans l’axe des X
- Account2 : dans l’axe des y

Puis ajoutons "actvsbud" (Reel, budget, Variance) dans "répéter en colonne".
(Vive la Norvège !)

Les "bulles", de manière analogue.

Les visualisations disponibles sur Planning Analytics
- Zone : Utilisez une visualisation à aires pour mettre en évidence l'ampleur des changements dans le temps.
- Barre : Utilisez une visualisation à barres pour comparer les valeurs par une ou plusieurs colonnes, telles que les ventes de produits ou les ventes de produits par mois.
- Boîte à moustaches : Vous pouvez utiliser des visualisations de boîte à moustaches pour identifier les valeurs extrêmes et comparer les distributions.
- Bulle : Utilisez une visualisation à bulles pour afficher les relations entre les colonnes qui contiennent des valeurs numériques, telles que les revenus et les bénéfices.
- Bullet : Utilisez les graphiques à puces pour afficher les mesures qui doivent être comparées à une valeur cible.
- Colonne : Utilisez une visualisation à colonnes pour comparer les valeurs par une ou plusieurs colonnes, telles que les ventes de produits ou les ventes de produits par mois.
- Lecteur de données : Utilisez un lecteur de données pour voir une animation de l'impact d'une colonne sur les autres visualisations.
- Colonne à deux axes : Utilisez une visualisation de colonne à deux axes pour afficher les relations entre deux ensembles de données. Chaque série de colonnes dans la visualisation représente un axe des y.
- Lignes à deux axes : Utilisez une visualisation de lignes à deux axes pour afficher les relations entre deux ensembles de données. Chaque ligne de la visualisation représente un axe des y.
- Carte thermique : Utilisez une visualisation de carte thermique pour visualiser la relation entre les colonnes, représentée dans une vue de type matrice.
- Bulle de hiérarchie : Utilisez une visualisation à bulles de hiérarchie lorsque vous souhaitez afficher les relations entre les colonnes qui contiennent des valeurs, telles que la perte nette. Cette visualisation est comparable à la visualisation à bulles, mais les bulles sont étroitement rapprochées au lieu d'être réparties sur une grille. Les bulles utilisent l'imbrication pour représenter la hiérarchie. Une visualisation à bulles de hiérarchie représente une grande quantité de données dans peu d'espace.
- Carte existante : Utilisez une carte existante lorsque vous souhaitez afficher des modèles dans vos données par zone géographique.
- Cascade d'héritage : Utilisez la visualisation d'une chute d'eau pour comprendre l'effet cumulatif d'une série de valeurs positives et négatives sur une valeur initiale. Les barres d'une visualisation en cascade ne sont pas des totaux.
- Courbes : Utilisez une visualisation à courbes pour représenter les tendances dans le temps.
- Visualisation à courbes et à colonnes : Utilisez une visualisation à courbes et à colonnes pour mettre en évidence les relations entre plusieurs séries de données en combinant des barres et des courbes avec une visualisation.
- Liste : Utilisez une visualisation à liste pour créer une présentation des données de manière hiérarchique.
- Carte : Utilisez une carte lorsque vous souhaitez afficher des modèles dans vos données par zone géographique. Le mappage des données s'effectue par mise en correspondance du nom de l'emplacement sur la carte et d'un emplacement dans les données.
- Marimekko : Une visualisation marimekko est similaire à une visualisation à colonnes empilées. Elle affiche des données en utilisant différentes hauteurs et inclut une dimension de données supplémentaire en utilisant différentes largeurs de colonne. La largeur des colonnes est basée sur la valeur affectée au champ de largeur. La hauteur d'un segment spécifique est un pourcentage de la valeur totale de la colonne correspondante.
- Réseau : Utilisez une visualisation réseau lorsque vous souhaitez afficher les connexions entre les colonnes de vos données. Une visualisation réseau est un bon choix pour afficher les connexions, les réseaux et les points d'intersection.
- Paquet de bulles : Utilisez une visualisation à paquets de bulles lorsque vous souhaitez afficher les relations entre les colonnes qui contiennent des valeurs numériques, telles que les revenus. Cette visualisation est comparable à la visualisation à bulles, mais les bulles sont étroitement rapprochées au lieu d'être réparties sur une grille. Une visualisation à paquet de bulles représente une grande quantité de données dans peu d'espace.
- Graphique circulaire : Utilisez une visualisation de graphique circulaire pour mettre en évidence les proportions. Chaque secteur représente la relation relative de chaque partie par rapport au tout.
- Point : Utilisez une visualisation à l'aide de points pour afficher les tendances dans le temps.
- Radar : Utilisez une visualisation radar pour comparer plusieurs variables quantitatives. La visualisation radar montre quelles variables possèdent des valeurs similaires ou s'il existe des anomalies parmi chaque variable.
- Radial : Dans une visualisation radiale, chaque barre apparaît dans un cercle avec des barres plus longues représentant des valeurs plus grandes. Survolez une barre pour en afficher les détails, tels que la valeur exacte représentée par la barre. Chaque barre commence à midi et s'étend dans le sens des aiguilles d'une montre pour les valeurs positives et dans le sens inverse des aiguilles d'une montre pour les valeurs négatives.
- Scatter : Les visualisations à nuage de points utilisent des points de données pour tracer deux mesures n'importe où le long d'une échelle, et pas seulement à des graduations régulières.
- Sélecteur : Utilisez la visualisation Sélecteur pour sélectionner des membres, des ensembles ou des niveaux pour une vue (soit dans l'exploration, soit dans la visualisation).
- Cellule unique : Utilisez la visualisation à cellule unique pour mettre en évidence la valeur d'une cellule sélectionnée ou pour entrer des données dans cette cellule.
- Barre superposée : Utilisez une visualisation à barres superposées pour comparer les contributions proportionnelles de chaque article au total, telles que les ventes de produits et les ventes de produits par mois.
- Colonnes superposées : Utilisez une visualisation à colonnes superposées pour comparer les contributions proportionnelles de chaque élément au total, telles que les ventes de produits et les ventes de produits par mois.
- Carte d'arborescence : Utilisez une visualisation de carte d'arborescence pour identifier des motifs et des exceptions dans un actif de données complexe de grande taille.
- Tornade : Utilisez une visualisation de tornade pour comparer deux catégories de séries de données.
- Cascade : Cette visualisation est utilisée pour montrer une sorte de mesure sur une période d'un an. L'année précédente est indiquée comme point de départ. La visualisation énumère ensuite les chiffres pour chaque mois ou trimestre et se termine par le total pour l'année entière.
- Nuage de mots : Utilisez une visualisation en nuage de mots lorsque vous souhaitez voir une visualisation en texte d'une colonne. La hauteur du texte représente l'échelle. Le nom lui-même correspond aux différents membres de la colonne.
Exemples de rendu final
Réalisés par IBM




Réalisé par notre partenaire INTITO - solution CSG / RSE /CRDS


Via Excel
Cependant, si vous êtes plus à l’aise avec Excel (graphiques) vous pouvez utiliser PAFE pour faire vos propres graphiques selon votre maitrise et les insérer ensuite dans un onglet de votre Dashboard (et ajouter ou synchroniser les sélecteurs).
Si vous avez besoin d'en apprendre plus sur le sujet, découvrez notre formation IBM Planning Analytics for EXCEL - Utilisateurs.


En Synthèse
Une foultitude de visualisations graphiques sont accessibles au travers du Workspace de Planning Analytics, permettant la construction de dashboards avec des invites et sélections intuitives.
Un bonheur pour les utilisateurs, un peu plus complexe pour les développeurs car, comme dans tout outil de Dataviz, le temps à consacrer aux développements ne doit pas être négligé.
→ Patience et longueur de temps font plus que vitesse ni que précipitation ! ;-)
Vous souhaitez bénéficier d'experts, de développeurs, ou d'une formation sur TM1 / Planning Analytics ? Rendez-vous sur la page Contact !
